• Предмет: Физика
  • Автор: ера53
  • Вопрос задан 8 лет назад

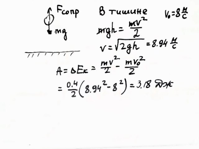
СРОЧНО ФИЗИКА!!!Мяч массой 400 г находится на высоте 4 м в тишине. Скорость шара во время столкновения с Землей составила 8 м / с. Какая Работа сопративления когда мяч падал?

Ответы

Ответ дал: elimofetoyp1j9
0
СРОЧНО ФИЗИКА!!!Мяч массой 400 г находится на высоте 4 м в тишине. Скорость шара во время столкновения с Землей составила 8 м / с. Какая Работа сопративления когда мяч падал?
Приложения:
Ответ дал: ера53
0
Спасибо! помогите решить эту задачу:Гидравлический пресс с площадями 20см^2 и 200 см^2 заполнен водой. Если на большой Поршень поставить груз массой 60 кг, то на сколько поднимется Маленький поршень?
Вас заинтересует