• Предмет: Физика
  • Автор: ВалерийЖмышенко
  • Вопрос задан 8 лет назад

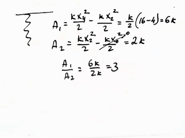
Пружину растянули на 4 см. Сравните работы, которые выполняет сила упругости в двух случаях сокращение пружины: от 4 см до 2 см (А1) и от 2 см до нуля (А2). Коэффициент упругости не меняется.

Ответы

Ответ дал: elimofetoyp1j9
0
Пружину растянули на 4 см. Сравните работы, которые выполняет сила упругости в двух случаях сокращение пружины: от 4 см до 2 см (А1) и от 2 см до нуля (А2). Коэффициент упругости не меняется.
Приложения:
Вас заинтересует