• Предмет: Алгебра
  • Автор: demchenko190510
  • Вопрос задан 8 лет назад

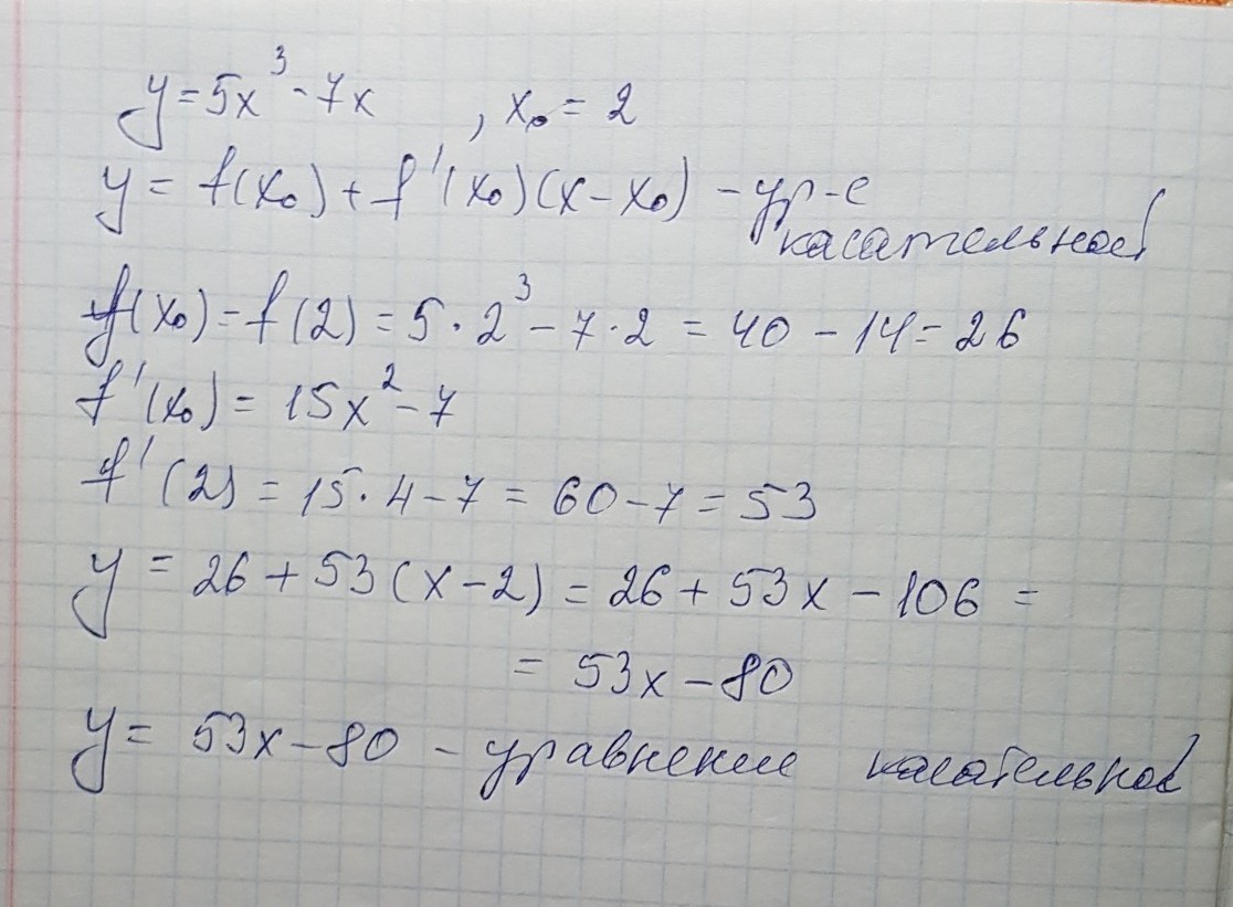
Помогите решить через формулу y= f(x) f'(a) (x-a)

y=5x^3 - 7x; x=2

Ответы

Ответ дал: 1233090
0
решение задания смотри на фотографии
Приложения:
Вас заинтересует