Ответы
Ответ дал:
0
Ответ и решение на фото.
Приложения:
Ответ дал:
0
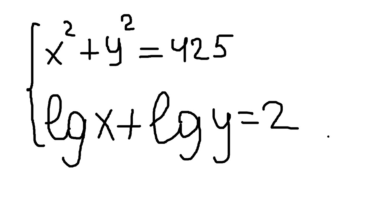
х² + у² = 425
lg x + lg y = 2
Рассмотрим 2-е уравнение
ОДЗ: х > 0; y > 0
lg x·y = 2
10² = x·y → y = 100/x
Подставим в 1-у уравнение
х² + 10 000/х² = 425
Замена t = x² (t > 0)
t + 10 000/t = 425
t² - 425t + 10 000 = 0
D = 425² - 4 · 10 000 = 140 625
√D = 375
t1 = 0.5(425 - 375) = 25
t2 = 0.5(425 + 375) = 400
Вернёмся к замене
х² = 25 С учётом ОДЗ получаем х = 5, а у = 100/5 = 20
х² = 400 С учётом ОДЗ получаем х = 20, а у = 5
Ответ: (5; 20) и (20; 5)
lg x + lg y = 2
Рассмотрим 2-е уравнение
ОДЗ: х > 0; y > 0
lg x·y = 2
10² = x·y → y = 100/x
Подставим в 1-у уравнение
х² + 10 000/х² = 425
Замена t = x² (t > 0)
t + 10 000/t = 425
t² - 425t + 10 000 = 0
D = 425² - 4 · 10 000 = 140 625
√D = 375
t1 = 0.5(425 - 375) = 25
t2 = 0.5(425 + 375) = 400
Вернёмся к замене
х² = 25 С учётом ОДЗ получаем х = 5, а у = 100/5 = 20
х² = 400 С учётом ОДЗ получаем х = 20, а у = 5
Ответ: (5; 20) и (20; 5)
Приложения:
Вас заинтересует
2 года назад
2 года назад
3 года назад
3 года назад
9 лет назад
10 лет назад