• Предмет: Математика
  • Автор: abalasov472
  • Вопрос задан 8 лет назад

d^2z/dxdy, где z=x^3+4xy+7y-1

Ответы

Ответ дал: artalex74
0
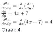
frac{d^2 z}{dxdy}= frac{d}{dx} (frac{dz}{d y})\
frac{dz}{d y} = 4x+7 \ frac{d^2 z}{dxdy}=  frac{d}{dx} (4x+7)=4
Ответ: 4.
Приложения:
Вас заинтересует