Решите систему уравнений:
(Пожалуйста решите и сфотографируйте)
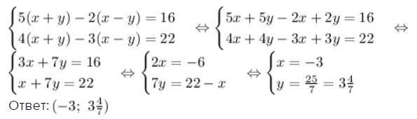
5(х+у) - 2(х-у) =16
4(х+у) - 3(х-у) =22
Ответы
Ответ дал:
0
Ответ:
Приложения:

Вас заинтересует
2 года назад
3 года назад
9 лет назад
9 лет назад
9 лет назад