• Предмет: Алгебра
  • Автор: dkuday
  • Вопрос задан 8 лет назад

вычеслите неопределённый интеграл (1-6x)*e^(2x)

Ответы

Ответ дал: artalex74
0
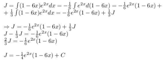
J=int (1-6x)e^{2x}}dx=- frac{1}{6} int e^{2x}}d(1-6x)= - frac{1}{6}e^{2x}(1-6x)+\
+ frac{1}{3} int (1-6x)e^{2x}}dx=- frac{1}{6}e^{2x}(1-6x)+frac{1}{3}J\ \
Rightarrow J = - frac{1}{6}e^{2x}(1-6x)+frac{1}{3}J\
J-frac{1}{3}J = - frac{1}{6}e^{2x}(1-6x)\ 
frac{2}{3}J = - frac{1}{6}e^{2x}(1-6x)\ \
J= - frac{1}{4}e^{2x}(1-6x) + C
Приложения:
Вас заинтересует