Ответы
Ответ дал:
0
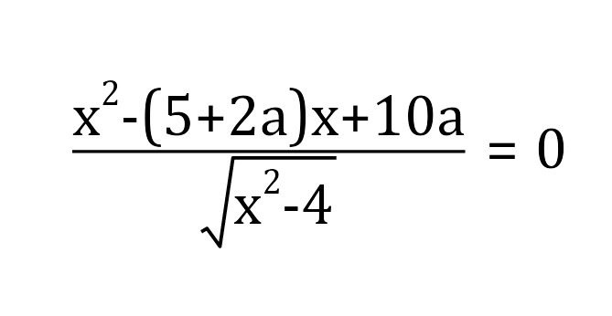
Скорее всего решение такое

⇒
⇒ 
Если подставить a в первый дискриминант мы получим D=100-100=0
Соответственно x=5
Если подставить a в первый дискриминант мы получим D=100-100=0
Соответственно x=5
Вас заинтересует
2 года назад
2 года назад
3 года назад
3 года назад
9 лет назад
9 лет назад
10 лет назад