• Предмет: Алгебра
  • Автор: yatiya
  • Вопрос задан 8 лет назад

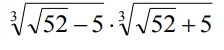
Вычислить (СКРИН)
Ответы
1) корень из двух
2) 5
3) 3
4) 1

Приложения:

Ответы

Ответ дал: 2407Alexa
0
Ну, как-то так. Смотри фото ниже.
Приложения:
Ответ дал: zinaidazina
0
 sqrt[3]{ sqrt{52} -5} * sqrt[3]{ sqrt{52} +5} = sqrt[3]{( sqrt{52} -5)*( sqrt{52} +5)}= sqrt[3]{ sqrt{52} ^2-5^2}  =  sqrt[3]{52-25}= sqrt[3]{27}= sqrt[3]{3^3} =3   

Ответ: 3) 3.
Приложения:
Вас заинтересует