Ответы
Ответ дал:
0
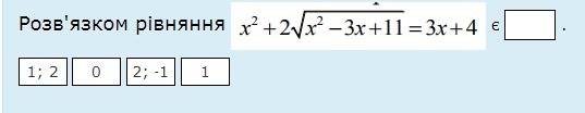
x²+2*√(x²-3x+11)=3x+4
ОДЗ: x²-3x+11≥0 x²-2*x*1,5+2,25+8,75≥0 (x-1,5)²+8,75>0 ⇒ x∈(-∞;+∞).
x²-3x-4+2*((x²-3x+11)=0
x²-3x+11-11-4+2*√(x²-3x+11)=0
x²-3x+11+2*√(x²-3x+11)-15=0
Пусть √(x²-3x+11)=t≥0 ⇒
t²+2t-15=0 D=64 √D=8
t₁=-5 ∉
t₂=3 ⇒
(√(x²-3x+11))²=3²
x²-3x+11=9
x²-3x+2=0 D=1
x₁=1 x₂=2
Ответ: 1; 2.
ОДЗ: x²-3x+11≥0 x²-2*x*1,5+2,25+8,75≥0 (x-1,5)²+8,75>0 ⇒ x∈(-∞;+∞).
x²-3x-4+2*((x²-3x+11)=0
x²-3x+11-11-4+2*√(x²-3x+11)=0
x²-3x+11+2*√(x²-3x+11)-15=0
Пусть √(x²-3x+11)=t≥0 ⇒
t²+2t-15=0 D=64 √D=8
t₁=-5 ∉
t₂=3 ⇒
(√(x²-3x+11))²=3²
x²-3x+11=9
x²-3x+2=0 D=1
x₁=1 x₂=2
Ответ: 1; 2.
Вас заинтересует
2 года назад
3 года назад
3 года назад
9 лет назад
10 лет назад