• Предмет: Математика
  • Автор: llijipot
  • Вопрос задан 8 лет назад

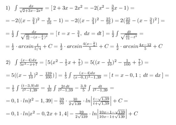
Интеграл xdx/sqrt(2+3x-2x^2)
Интеграл ((x-4)dx)/(5x^2-x+7)
Найти неопределённы интеграл. Срочно!!! Даю 10 баллов

Ответы

Ответ дал: NNNLLL54
0
................................................................................................................................................
Приложения:
Вас заинтересует