Ответы
Ответ дал:
0
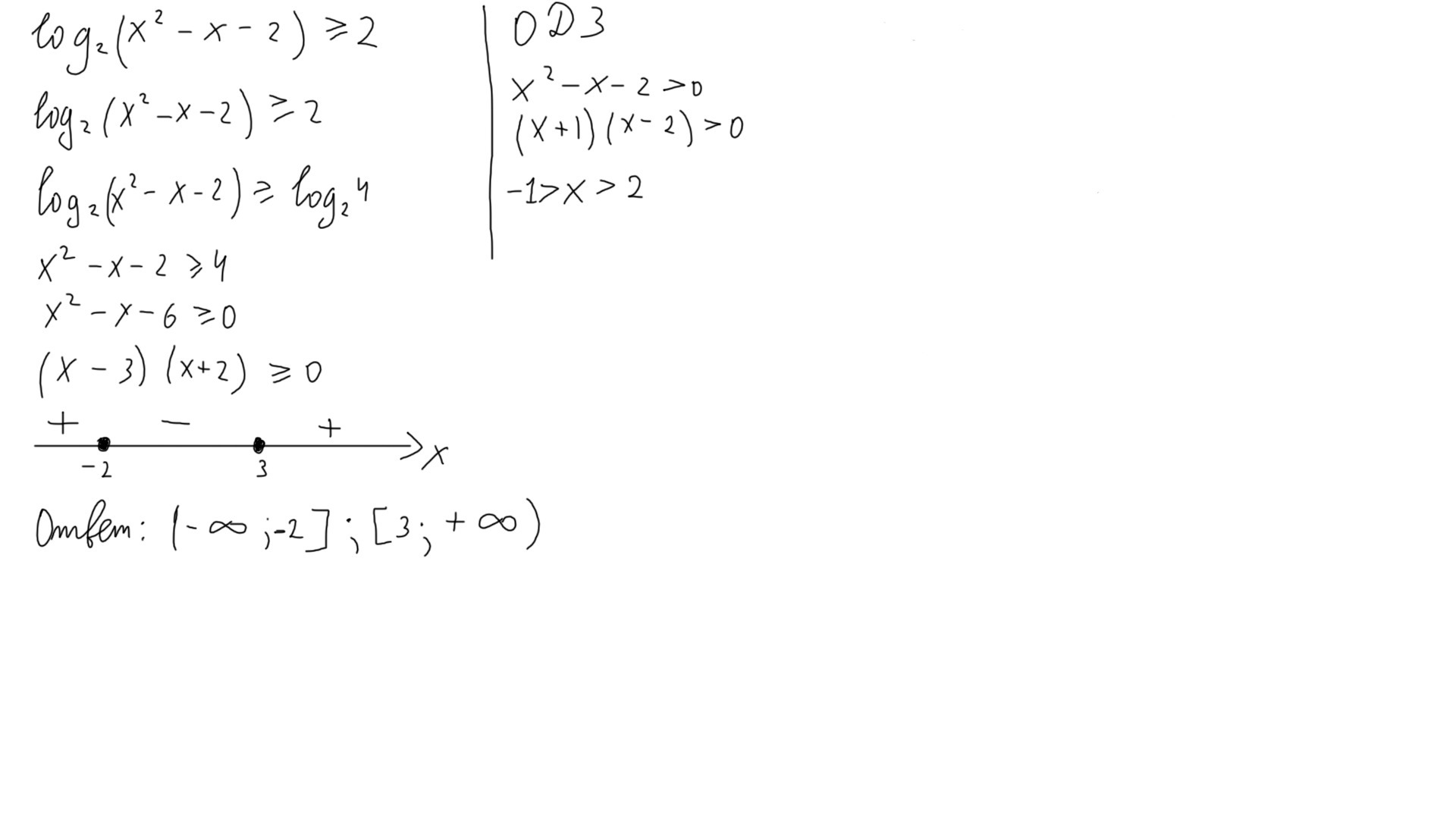
log₂(x²-x-2) ≥ 2 ⇔ log₂(x²-x-2) ≥ log₂4 ⇔ x²-x-2 ≥ 4 ⇔ (x-3)(x+2) ≥ 0 ⇔
⇔ x ≤ -2 и x ≥ 3
Ответ: x ∈ (- ∞,-2] ∪ [3, + ∞)
⇔ x ≤ -2 и x ≥ 3
Ответ: x ∈ (- ∞,-2] ∪ [3, + ∞)
Ответ дал:
0
Всё сделано, должно быть без ошибок.
Приложения:

Вас заинтересует
2 года назад
3 года назад
3 года назад
9 лет назад
9 лет назад