• Предмет: Алгебра
  • Автор: ValeraDavay
  • Вопрос задан 8 лет назад

Помогите с шестым логарифмическим неравенством
Вложение

Приложения:

Ответы

Ответ дал: artalex74
0
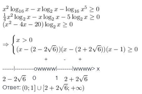
x^2 log_{16}x-x log_{2}x- log_{16}x^5  geq  0\
 frac{1}{4} x^2 log_{2}x-x log_{2}x- 5log_{2}x  geq  0\
(x^2-4x-20) log_2x geq 0 \

 Rightarrow  begin {cases} x textgreater  0 \ (x-(2-2 sqrt{6}))(x-(2+2 sqrt{6}))(x-1) geq 0   end {cases}
                          +          -        +
------|----------owwww|--------|wwww> x
2-2 sqrt{6}    0            1    2+2 sqrt{6}
Ответ: (0;1] cup [2+2 sqrt{6}; + infty)
Приложения:
Ответ дал: irinan2014
0
Решаем методом замены множителей.
Приложения:
Вас заинтересует