• Предмет: Математика
  • Автор: ksenia05971
  • Вопрос задан 8 лет назад

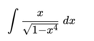
Помогите решить неопределённый интеграл:)

Приложения:

Ответы

Ответ дал: bearcab
0
 intfrac{x,dx}{sqrt{1-x^4}}=frac{1}{2}intfrac{{d(x^2)}}{sqrt{1-x^4}}=frac{1}{2}arcsin(x^2)+C,,,C=Const.
Вас заинтересует