• Предмет: Алгебра
  • Автор: ksenia05971
  • Вопрос задан 8 лет назад

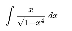
Решить интеграл. T=x^2

Приложения:

Ответы

Ответ дал: artalex74
0
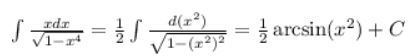
int  frac{xdx}{ sqrt{1-x^4} } = frac{1}{2} int  frac{d(x^2)}{ sqrt{1-(x^2)^2} } = frac{1}{2} arcsin (x^2)+C
Приложения:
Ответ дал: sojepuze
0
https://znanija.com/task/29293636
Вас заинтересует