• Предмет: Алгебра
  • Автор: lebedevatv0405
  • Вопрос задан 8 лет назад

Определенный интеграл равен:

Приложения:

Ответы

Ответ дал: artalex74
0
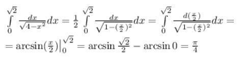
intlimits_{0}^{ sqrt{2} }  frac{dx}{ sqrt{4-x^2} } }dx=  frac{1}{2} intlimits_{0}^{ sqrt{2} }  frac{dx}{ sqrt{1-( frac{x}{2}) ^2} } }dx=  intlimits_{0}^{ sqrt{2} }  frac{d( frac{x}{2} )}{ sqrt{1-( frac{x}{2}) ^2} } }dx= \= arcsin ( frac{x}{2}) big | _{0}^{ sqrt{2} } = arcsin  frac{sqrt{2}}{2} -arcsin 0 =  frac{ pi }{4}
Приложения:
Вас заинтересует