• Предмет: Математика
  • Автор: ChuiYoon
  • Вопрос задан 8 лет назад

Напишите уравнение касательной к графику функции f(x)=-x^2-3x+2 в точке с абциссой x0=-1

Ответы

Ответ дал: artalex74
0
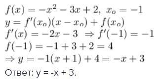
f(x)=-x^2-3x+2 , x_o=-1\
y=f'(x_o)(x-x_o)+f(x_o)\
f'(x)=-2x-3 Rightarrow f'(-1)=-1\
f(-1)=-1+3+2=4\ Rightarrow y=-1(x+1)+4=-x+3
Ответ: у = -х + 3.
Приложения:
Вас заинтересует