Ответы
Ответ дал:
0
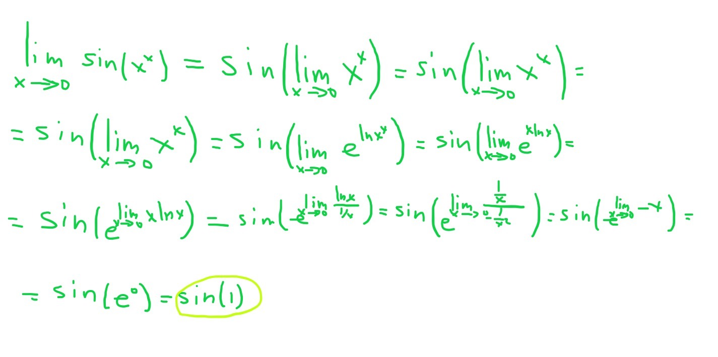
Ответ ниже. Сначала преобразовываем для использования правила Лопиталя.
Приложения:

Ответ дал:
0
немного не понятно, куда вы синус дели. решение подразумевалось приведением к неопределенности ноль на бесконечность, ввиду чего получился бы другой ответ.
Ответ дал:
0
Синус никуда не пропадал
Ответ дал:
0
синус — функция непрерывная, следовательно lim (x → a) sin(x) = sin(a) или , что эквивалетно, lim (x → a) sin(x) = sin(lim(x → a) x) = sin(a)
Вас заинтересует
2 года назад
2 года назад
3 года назад
9 лет назад
9 лет назад
9 лет назад
9 лет назад