Ответы
Ответ дал:
0
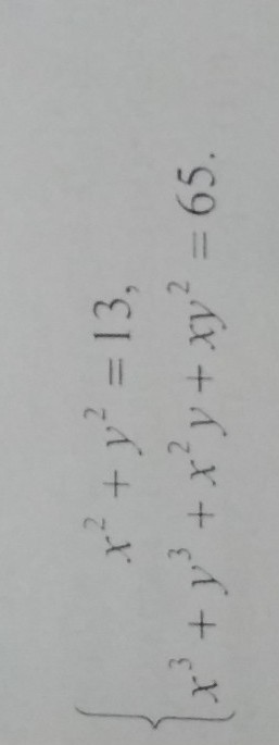
х²+у²=13
х³++х²у+у³+ху²=65
х²(х+у)+у²(х+у)=65
(х²+у²)(х+у)=65
13(х+у)=65
х+у=5
х=5-у 25-10у +2у²=13 12-10у +2у²=0
у₁=10-√(100-96)/4 у₁=2 х₁=5-2 х₁=3
у₂=10+√(100-96)/4 у₂=10+2/4 у₂=3 х₂=5-3 х₂=2
ответ х₁=3 у₁=2 , х₂=2 у₂=3 ,
Ответ можно записать и в таком виде( 3 , 2 ), ( 2 , 3 )
х³++х²у+у³+ху²=65
х²(х+у)+у²(х+у)=65
(х²+у²)(х+у)=65
13(х+у)=65
х+у=5
х=5-у 25-10у +2у²=13 12-10у +2у²=0
у₁=10-√(100-96)/4 у₁=2 х₁=5-2 х₁=3
у₂=10+√(100-96)/4 у₂=10+2/4 у₂=3 х₂=5-3 х₂=2
ответ х₁=3 у₁=2 , х₂=2 у₂=3 ,
Ответ можно записать и в таком виде( 3 , 2 ), ( 2 , 3 )
Ответ дал:
0
х²+у²=13
(х³+у³)+(х²у+ху²)=65
______________________
х²+у²=13
(х+у)*(х²-ху+у²)+ху*(х+у)=65
_____________________________
х²+у²=13
(х+у)*(х²-ху+у² +ху)=65
_____________________________
х²+у²=13
(х+у)*(х²+у² )=65
_____________________________
х²+у²=13
(х+у)*13=65 ⇒ х=65/13 -у ⇒ х= 5-у
(5 -у)²+у²=13
(5)² - 2*5у +у²+у²=13
25 - 10у +у²+у²- 13=0
2у²-10у+12=0
D=100-96=4
y₁=(10+2)/4=3 x₁=5 - 3 =2
y₂=(10-2)/4=2 x₂= 5 - 2 =3
Ответ (3;2) , (2;3)
(х³+у³)+(х²у+ху²)=65
______________________
х²+у²=13
(х+у)*(х²-ху+у²)+ху*(х+у)=65
_____________________________
х²+у²=13
(х+у)*(х²-ху+у² +ху)=65
_____________________________
х²+у²=13
(х+у)*(х²+у² )=65
_____________________________
х²+у²=13
(х+у)*13=65 ⇒ х=65/13 -у ⇒ х= 5-у
(5 -у)²+у²=13
(5)² - 2*5у +у²+у²=13
25 - 10у +у²+у²- 13=0
2у²-10у+12=0
D=100-96=4
y₁=(10+2)/4=3 x₁=5 - 3 =2
y₂=(10-2)/4=2 x₂= 5 - 2 =3
Ответ (3;2) , (2;3)
Вас заинтересует
2 года назад
3 года назад
9 лет назад
9 лет назад
10 лет назад