Закончите уравнение реакций, расставив коэффициенты методом электронно-ионного баланса. Кислая среда. KBr+Mno2+H2SO4=>Br2+MnSO4+K2SO4+H2O
Ответы
Ответ дал:
0
2KBr+Mno2+2H2SO4=>Br2+MnSO4+K2SO4+2H2O
Ответ дал:
0
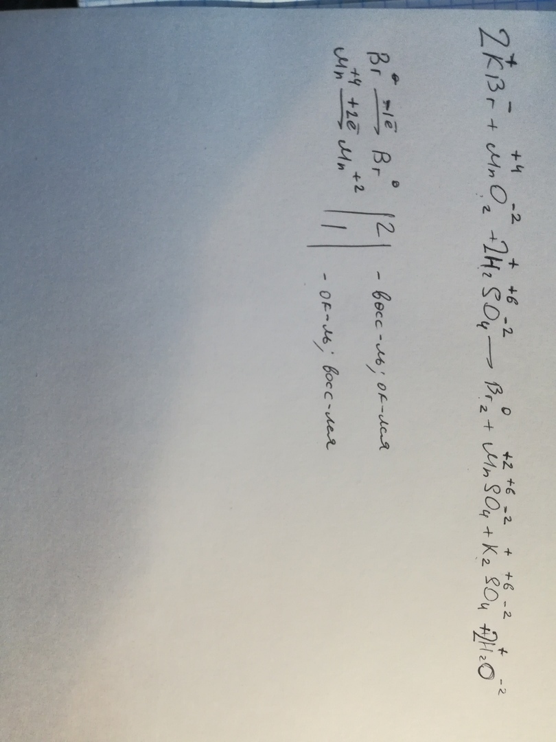
Вот тебе ответ.
2KBr + MnO2 + 2H2SO4 = Br2 + MnSO4 + K2SO4 + 2H2O
2KBr + MnO2 + 2H2SO4 = Br2 + MnSO4 + K2SO4 + 2H2O
Приложения:

Ответ дал:
0
Это точно всё?
Вас заинтересует
2 года назад
3 года назад
3 года назад
9 лет назад
9 лет назад
9 лет назад