Ответы
Ответ дал:
0
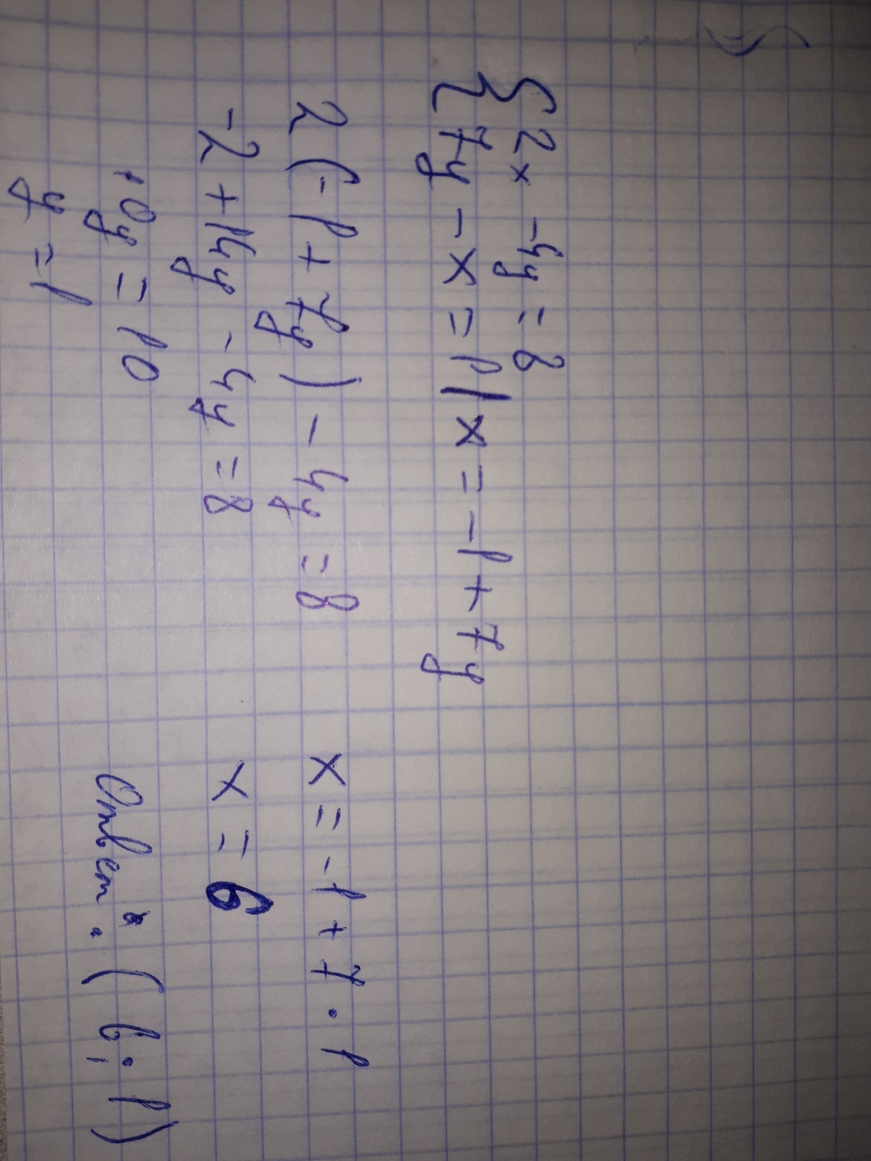
ответ(6;1) решение на фото
Приложения:

Ответ дал:
0
apres
Ответ дал:
0
lav de patrastvi
Ответ дал:
0
lav
Ответ дал:
0
bg
Ответ дал:
0
bg
Ответ дал:
0
Комментарий к действиям, приведенным ниже:
1) Домножаем обе части нижнего уравнения на 2;
2) Складываем нижнее уравнение с верхним: иксы сокращаются, приводим подобные слагаемые, сразу получаем y. Нижнее уравнение переписываем без изменений;
3) Подставляем найденный y в второе уравнение, сразу выражаем x. Получаем ответ.

Ответ: (6; 1).
1) Домножаем обе части нижнего уравнения на 2;
2) Складываем нижнее уравнение с верхним: иксы сокращаются, приводим подобные слагаемые, сразу получаем y. Нижнее уравнение переписываем без изменений;
3) Подставляем найденный y в второе уравнение, сразу выражаем x. Получаем ответ.
Ответ: (6; 1).
Приложения:

Вас заинтересует
2 года назад
2 года назад
3 года назад
3 года назад
9 лет назад
9 лет назад
9 лет назад