Ответы
Ответ дал:
0
!!!!!!!!!!!!!!!!!!!!!
Приложения:

Ответ дал:
0
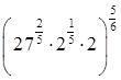
(27²/⁵*2¹/⁵*2)⁵/⁶=(3³*²/⁵*2⁽¹/⁵⁺¹⁾)⁵/⁶=(3⁶/⁵*2⁶/⁵)⁵/⁶=((3*2)⁶/⁵)⁵/⁶=6¹=6.
Приложения:

Вас заинтересует
2 года назад
9 лет назад
9 лет назад