Найти значения x,при которых значение производной f(x)=1/3x^3-2x,ровно нулю
Люди добрые выручайте...
Ответы
Ответ дал:
0
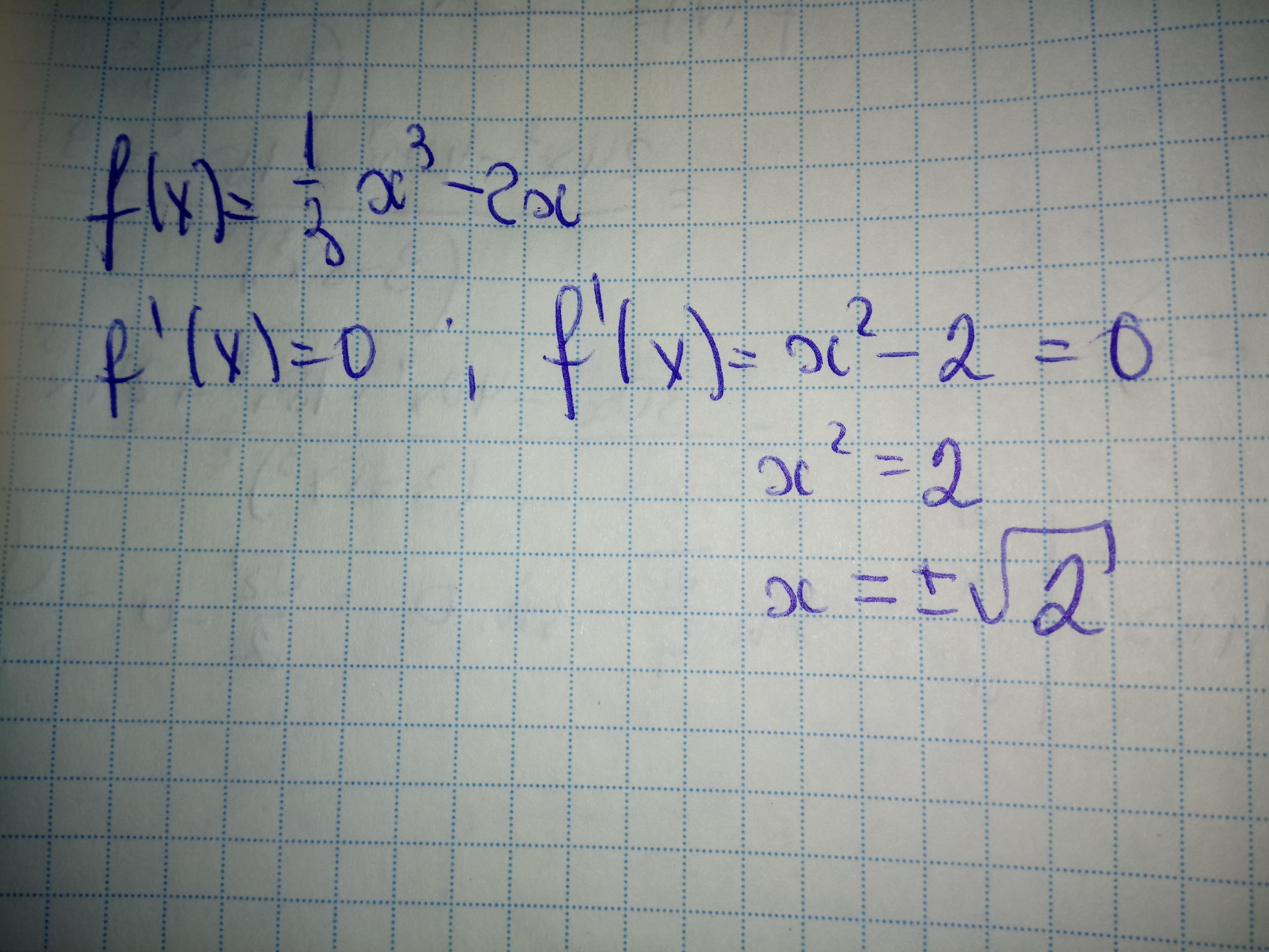
Решение задания приложено
Приложения:
Ответ дал:
0
f'x=1/3 * 3x^2 - 2 = x^2-2 = 0
x^2=2
x1=√2
x2=-√2
x^2=2
x1=√2
x2=-√2
Приложения:
Вас заинтересует
2 года назад
2 года назад
3 года назад
3 года назад
9 лет назад
9 лет назад
10 лет назад
10 лет назад