Ответы
Ответ дал:
0
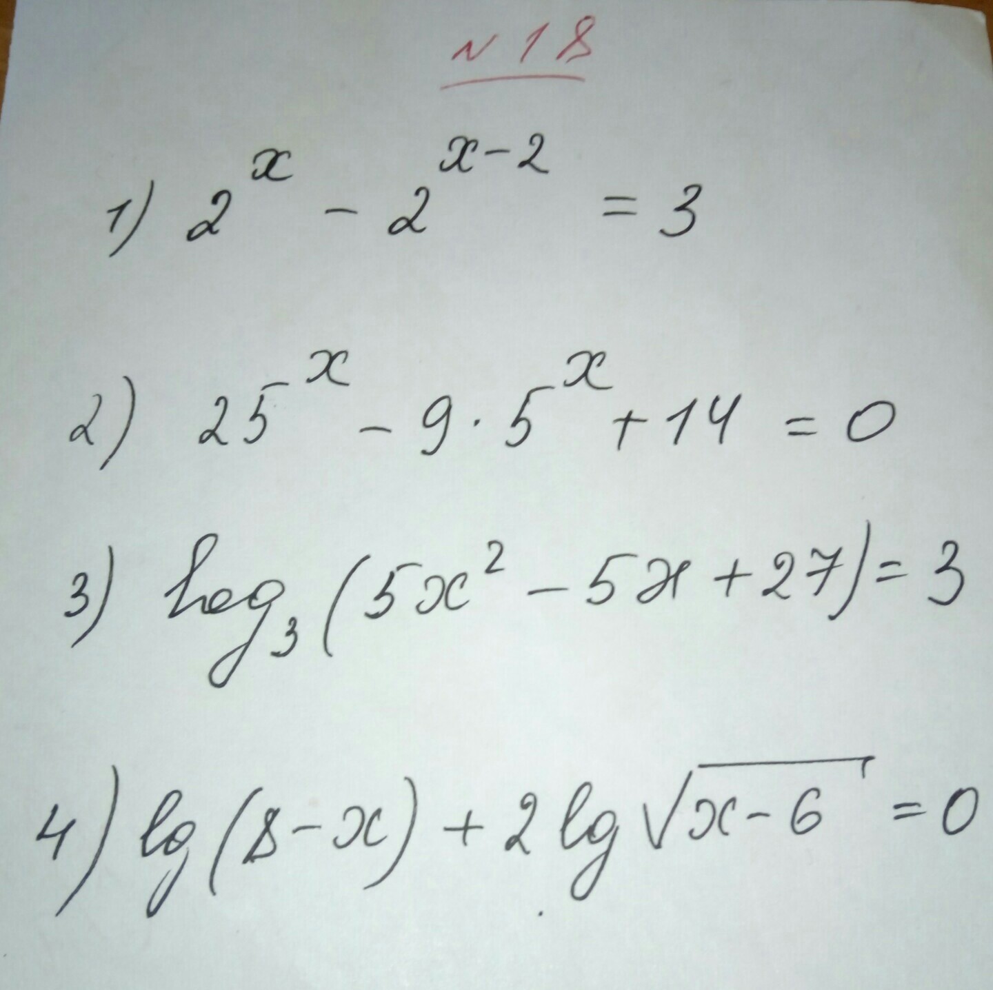
Решение на фото, надеюсь всё понятно.
Во втором примере:

В третьем примере:
ОДЗ:

В четвертом примере:
ОДЗ:
8-x>0
x<8
x-6>0
x>6
Во втором примере:
В третьем примере:
ОДЗ:
В четвертом примере:
ОДЗ:
8-x>0
x<8
x-6>0
x>6
Приложения:

Вас заинтересует
2 года назад
3 года назад
9 лет назад
9 лет назад
9 лет назад