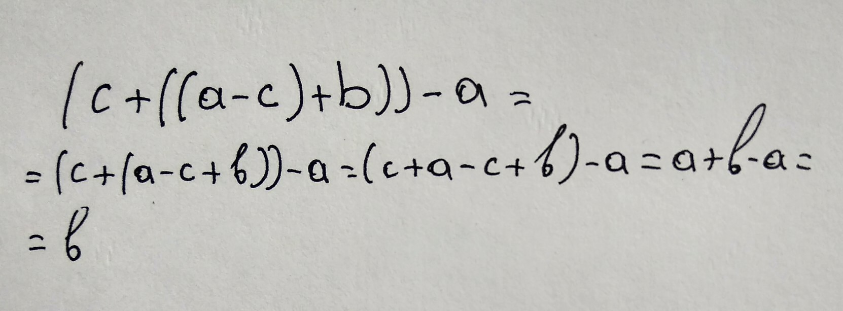
Упростить выражение,обосновав каждый этап выполнения преобразований : (c+((a-c)+b))-a
ПОЖАЛУЙСТА, СРОЧНО!!!!!
Ответы
Ответ дал:
0
фото фото фото фото фото фото фото фото
Приложения:

Ответ дал:
0
можете написать каждый этап выполнения преобразований?
Ответ дал:
0
как именно обосновать?
Вас заинтересует
2 года назад
2 года назад
3 года назад
9 лет назад