Помогите решить!
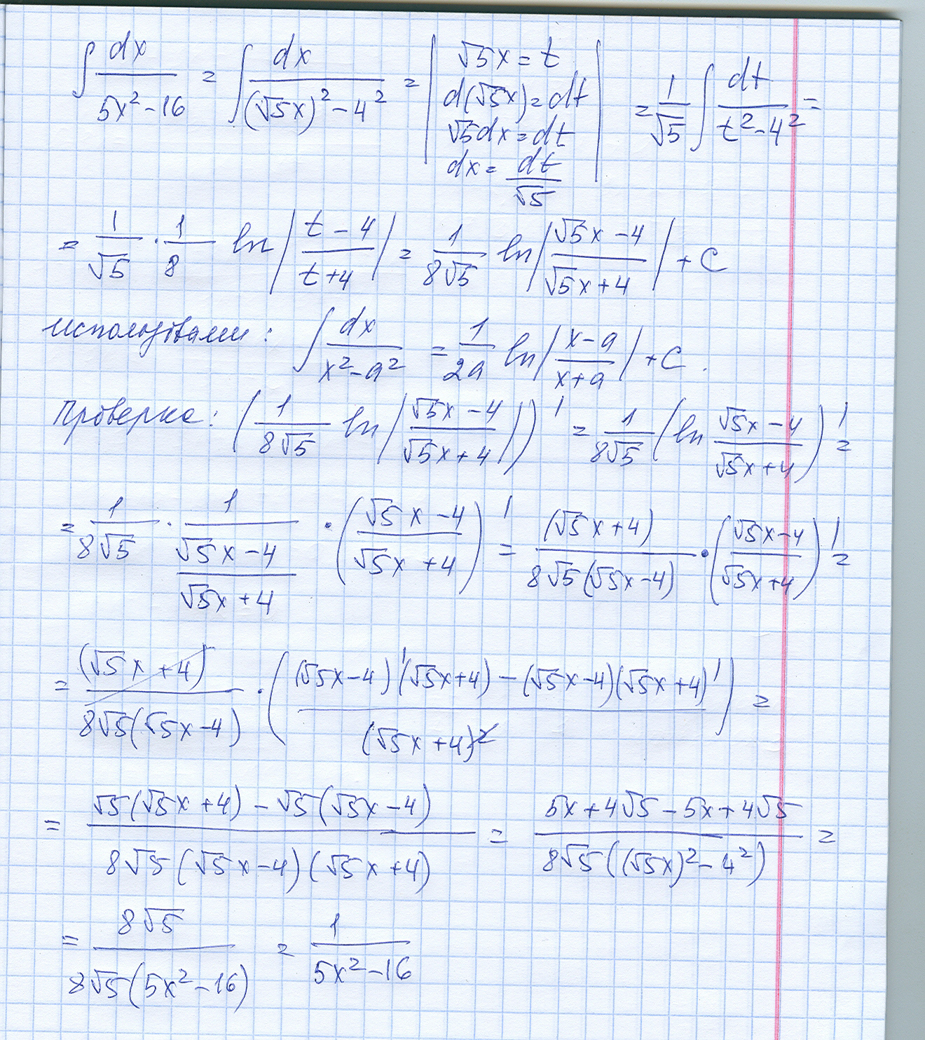
Найти неопределенные интегралы.
Результат проверить дифференцированием.
Приложения:
Ответы
Ответ дал:
0
решение и проверка находятся ниже
Приложения:
Вас заинтересует
2 года назад
3 года назад
3 года назад
9 лет назад
9 лет назад
10 лет назад
10 лет назад