• Предмет: Математика
  • Автор: tanyavorobeva2
  • Вопрос задан 8 лет назад

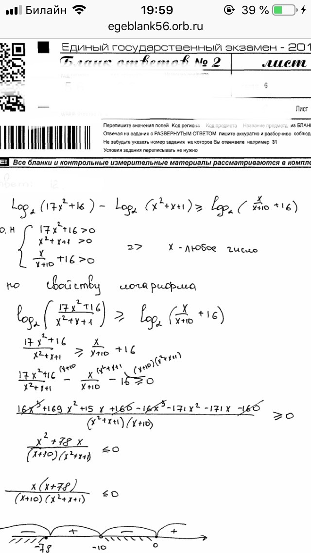
ПОЖАЛУЙСТА помогите найти ошибку

Приложения:

Ответы

Ответ дал: MЕGUМIN
0
Не привел подобные.......
Приложения:
Вас заинтересует