• Предмет: Алгебра
  • Автор: stepachi
  • Вопрос задан 8 лет назад

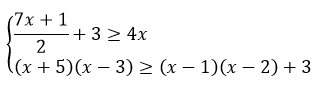
Найдите целые решения системы неравенств:

Приложения:

Ответы

Ответ дал: irinan2014
0
Решение дано на фото.
Приложения:
Вас заинтересует