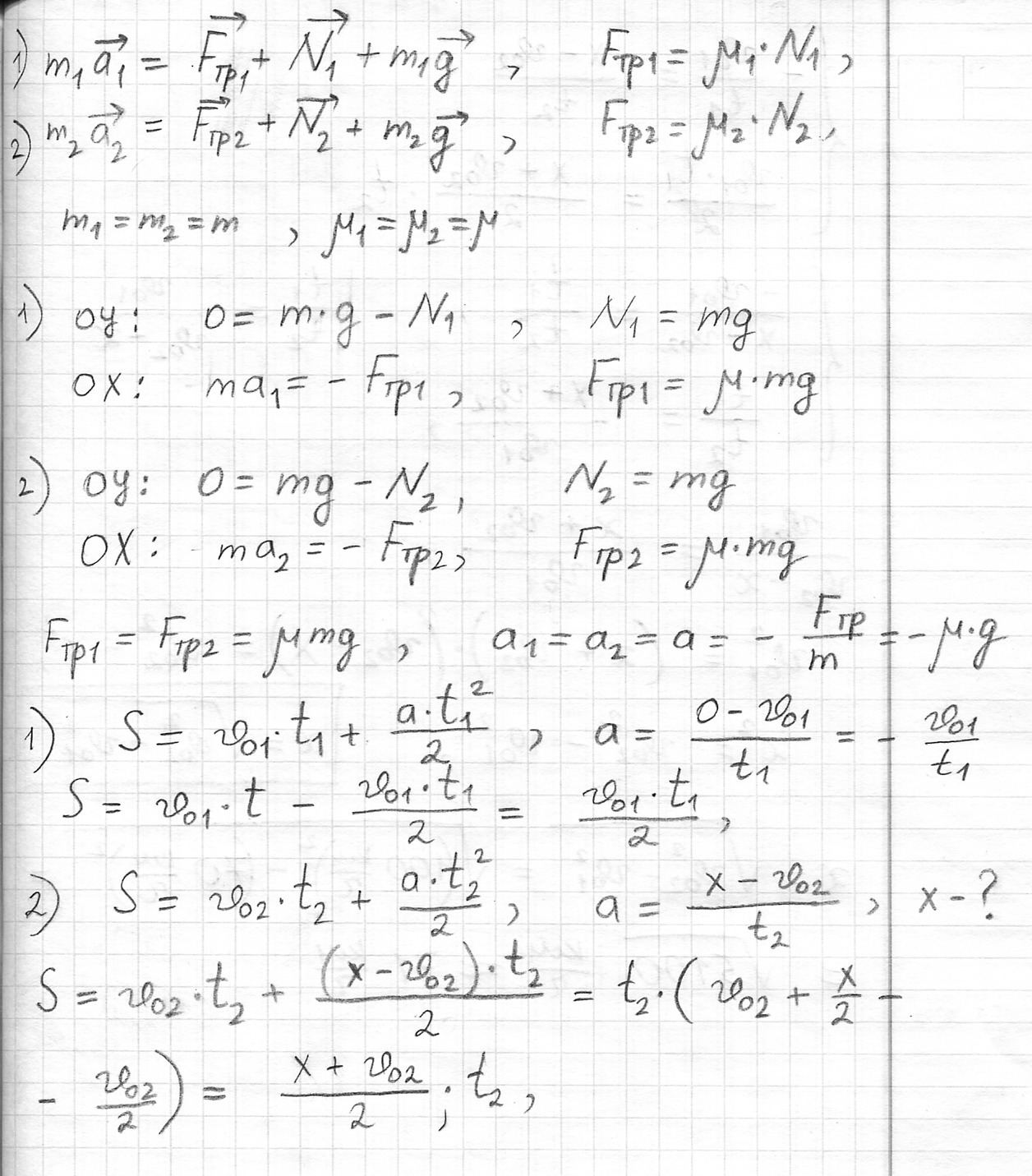
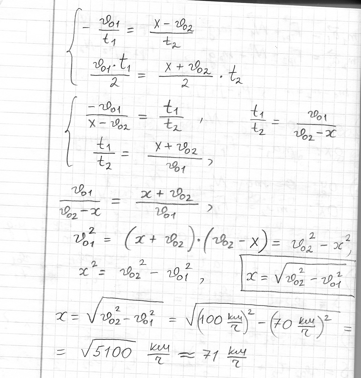
Синяя машина едет со скоростью 70 км/ч, а красная - 100 км/ч.
Когда эти машины выровнялись относительно дороги, перед ними неожиданно появляется препятствие. Синяя машина начинает тормозить и останавливает впритык к препятствию, но не врезается в него. С какой скоростью красная машина врежется в препятствие?
Приложения:

Ответы
Ответ дал:
0
====================================>>
Приложения:


Вас заинтересует
2 года назад
2 года назад
3 года назад
3 года назад
9 лет назад
9 лет назад