• Предмет: Математика
  • Автор: aza91
  • Вопрос задан 8 лет назад

Помогите пожалуйста.?очень нужно

Приложения:

Ответы

Ответ дал: NamiVa
0

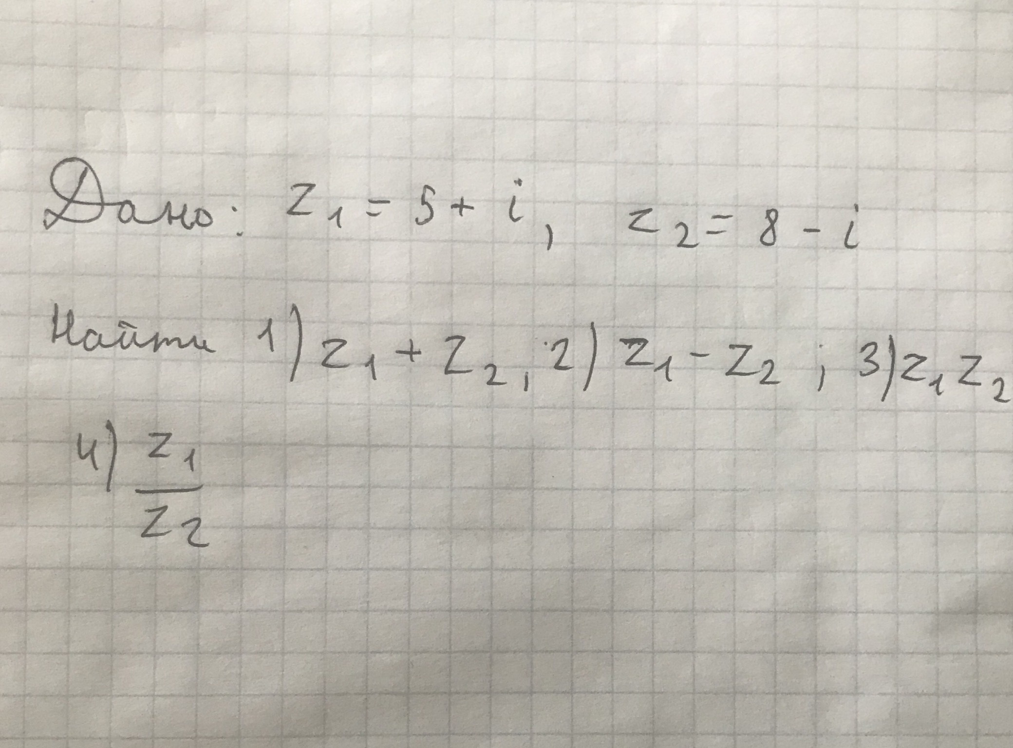
z1 + z2 = (x1 + x2) + i (y1 + y2) = (5 + 8) + i(1 + ( - 1)) = 13
z1 - z2 = (x1 - x2) + i(y1 - y2) = (5 - 8) + i(1  - ( -1)) =  - 3 + i2
z1 times z2 = (x1x2 - y1y2) + i(x1y2 + x2y1) = (5 times 8 - 1 times ( - 1)) + i(5 times ( - 1) + 8 times 1) = 41 + i3
Вас заинтересует