• Предмет: Алгебра
  • Автор: Аноним
  • Вопрос задан 8 лет назад

напишите на листочке

Приложения:

Ответы

Ответ дал: Нау4пок
0
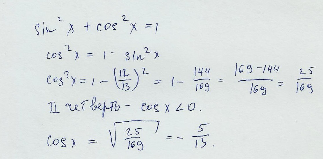
Решение во вложении.
Приложения:
Вас заинтересует