• Предмет: Химия
  • Автор: kloyn228637
  • Вопрос задан 8 лет назад

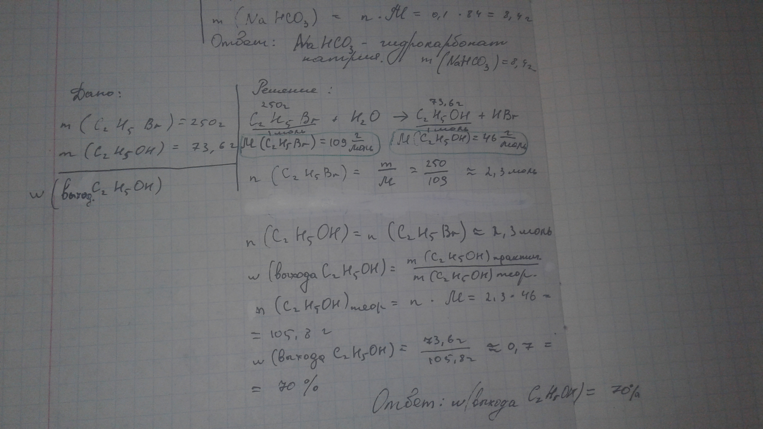
Найти массовую долю выхода этилового спирта, если при взаимодействии бромэтана массой 250г с водой образуется 73,6г этилового спирта.

Ответы

Ответ дал: vidanila
0
Я округляю до целых, мне так удобнее, простите.
Приложения:
Вас заинтересует