• Предмет: Алгебра
  • Автор: Vita12321
  • Вопрос задан 8 лет назад

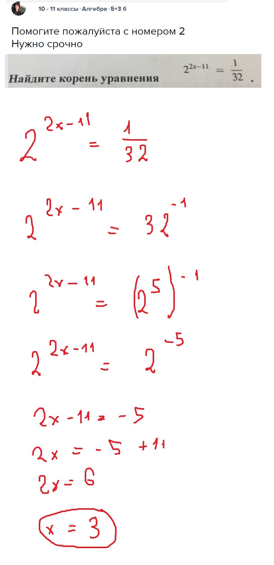
Помогите пожалуйста с номером 2
Нужно срочно

Приложения:

Ответы

Ответ дал: kartew
0
Готово! Ответ на фото:
Приложения:
Вас заинтересует