Ответы
Ответ дал:
0
Ответ дал:
0
и все ?
Ответ дал:
0
спасибо)))
Ответ дал:
0
да, это почти табличная функция
Ответ дал:
0
можешь помощь по всему решением
Ответ дал:
0
???
Ответ дал:
0
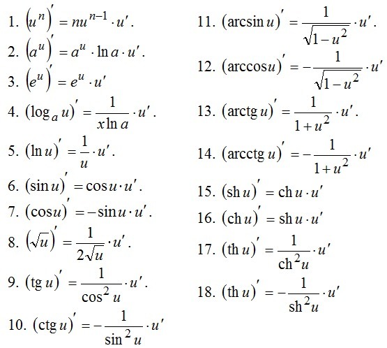
Дана сложная функция
. Найдём ее производную

P.S. прикрепляю таблицу производных сложной функции
P.S. прикрепляю таблицу производных сложной функции
Приложения:

Вас заинтересует
2 года назад
2 года назад
3 года назад
9 лет назад
9 лет назад