• Предмет: Геометрия
  • Автор: viktoria08337pad2x4
  • Вопрос задан 8 лет назад

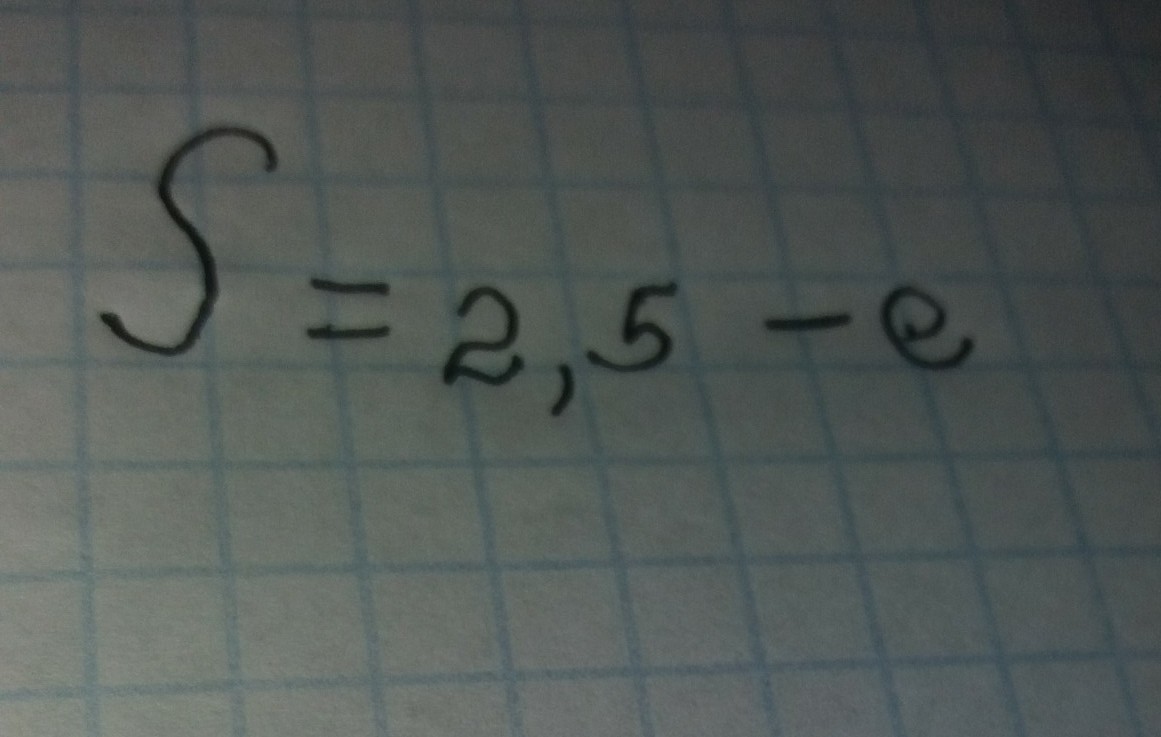
знайдіть площу фігури обмеженої лініями y=e^x y=^3x і x=1

Ответы

Ответ дал: Nicnoc538
0
Привет. Ответ га картинке.
Приложения:
Вас заинтересует