Извеняюсь за не удачный перевод. Логическая задача: У вас есть 500 тг. За эти деньги ровно далив эту сумму вы должны купить 100 голов. Лощадь стоит - 50 тг, корова-10 тг, баран 1 тге. ? Скажите пжл как решается такая задача ? Нашла ответ в интернете, но не смогла понять, так как не дошло до меня. Объясните пжл мне так, чтобы объяснить ребенку задачу. Заранее СПАСИБО.
1 ответ:
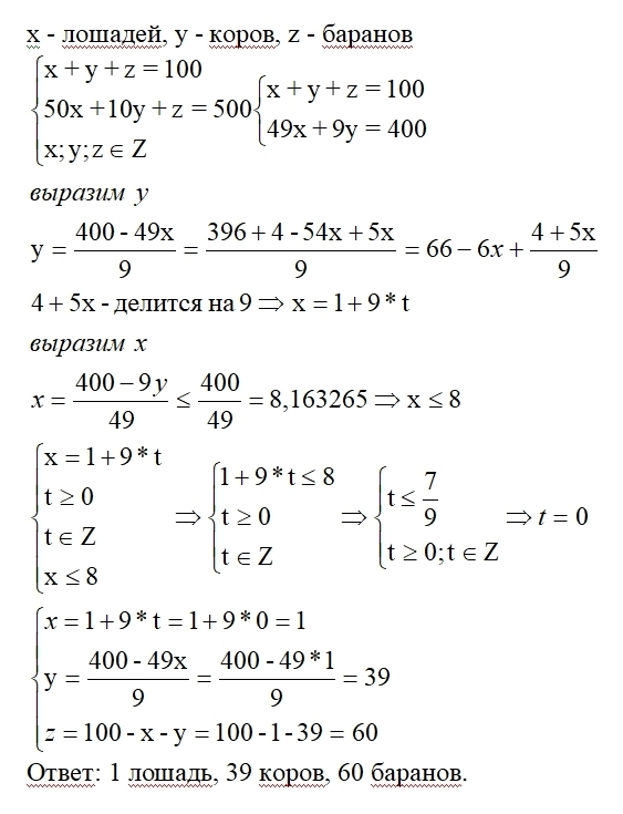
х - купленние лошади, у - купленние коровы, z - купленные бараны.
{ x+y+z=100; 50x+10y+z=500 ⇒ 49x+9y=400 ⇒
⇒ x=(400-9y)/49
x=1; y=39.
тогда z=100-х-у=60
Жауабы: 1 жылқы, 39 сыйыр, 60 қой
Ответы
Ответ дал:
0
смотри решение во вложении
Приложения:
Ответ дал:
0
например нельзя километры складывать с часами
Ответ дал:
0
Один и тот же набор животных продаём в два разных места.
В одном каждая животинка стоит одну монету, любая. И мы должны получить 100 монет
x(коров)*1(монет/корову) + y + z = 100 (монет)
В другом же - лошадь 50, корова 10, баран - 1, и цель - 500 монет
x(коров)*50(монет/корову) + 10y + z = 500 (монет)
Всё в денежках считается.
В одном каждая животинка стоит одну монету, любая. И мы должны получить 100 монет
x(коров)*1(монет/корову) + y + z = 100 (монет)
В другом же - лошадь 50, корова 10, баран - 1, и цель - 500 монет
x(коров)*50(монет/корову) + 10y + z = 500 (монет)
Всё в денежках считается.
Ответ дал:
0
в условии задачи ничего не сказано что стоимость коровы + стоимость лошади и стоимость барана = 100 монет, это можно сказать только посмотрев ответ. что вообще-то не очень корректно
Ответ дал:
0
про то что "каждая животинка стоит одну монету" бабушка надвое сказала
Ответ дал:
0
Сказано, что 100 голов. Введение второй цены, 1 монета/животинку, позволяет записать уравнения в единицах измерения "деньги".
В ответ смотреть не надо.
Это отдельный приём для работы в правильных единицах измерения. В геометрии он встречается достаточно часто, указанием единичного отрезка. Почему бы и в алгебре его не применить?
В ответ смотреть не надо.
Это отдельный приём для работы в правильных единицах измерения. В геометрии он встречается достаточно часто, указанием единичного отрезка. Почему бы и в алгебре его не применить?
Ответ дал:
0
Это так называемая задача Льва Толстого, который учил крестьянских ребятишек и придумывал им разные занимательные задачки
судя по всему вы посмотрели решение с вычетом одного уравнения из другого но надо понимать что нельзя от рублей отнимать количество скота
надо хотя бы формально получить в обоих уравнениях головы а затем уже решать дальше
итак
50х+10у+1*z=500 (рублей)
х+у+z=100 (голов)
из первого уравнения получаем
1z=500-50х-10у (рублей) сумма делить на цену = количество
z=(500-50х-10у)/1=500-50х-10у (голов)
z=100-х-у (голов)
вот теперь можно решать дальше раз равны левые части уравнений то можно приравнять и правые
500-50х-10у=100-х-у
49х+9у=400 так как уравнение одно а неизвестных две то можно его решить методом подбора для этого выразим у через х
=(400-49х)/9
так как количество голов - натуральное число то можно подставлять в формулу вместо х натуральные числа начиная с 1 и вычислять у пока не получится натуральное число
в данном случае натуральное число получается уже на первом шаге при
х=1 - количество лошадей
у=(400-49)/9=351/9=39 коров
z=100-x-y=100-1-39=60 баранов
Некоторые комментарии к задаче
1) то что мы получили у на первой подстановке это нам повезло, если бы мы выразили х через у то пришлось бы делать 39 подстановок пока бы мы не получили х=1
2) возможно задача имеет и несколько решений мы нашли одно из них но если будем дальше подставлять натуральные числа вместо х то на 8 шаге получим у=0,8... а дальше отрицательные числа. понятно что на этом поиск надо прекратить
3) эту задачу пришлось решать "численным"
методом. решение задач численным методом вручную - это нудное и неинтересное занятие. такие задачи лучше давать на информатике там можно быстро посчитать возможные значения х в электронной таблице ECXEL или составить программу на языке программирования
хотя один раз можно дать и на математике чтобы дети поняли что решать такую задачу надо не на математике
4) в решениях которые можно найти в интернете где от рублей отнимают головы несмотря на неправильную логику получается верное решение. Почему? тут просто просто повезло что цена 1 руб. если бы цена была другая то такой метод сразу бы привел к ошибке. поэтому надо решать правильно. Решение задач неправильными методами похоже на сюжет мультфильма Страна двоек или в Стране невыученных уроков где по улице шагали полтора землекопа или корова сложенная с лошадью...
5) задача непростая, ну что ж поделать, математика вообще - это невероятно сложный инструмент для описания простых явлений.
6) моральная сторона задачи. судя по всему авторы казахского учебника бессовестно переделали задачу Льва Толстого на казахский лад. без ссылки на источник, что вообще то называется плагиатом. пусть это останется на их совести. можно заметить что некоторые учебники изданные казахскими аторами разительно напоминают переделанные российские. а ведь за эту работу авторы учебников получают гонорары из госбюджета, но это уже тема не для этого сайта....
судя по всему вы посмотрели решение с вычетом одного уравнения из другого но надо понимать что нельзя от рублей отнимать количество скота
надо хотя бы формально получить в обоих уравнениях головы а затем уже решать дальше
итак
50х+10у+1*z=500 (рублей)
х+у+z=100 (голов)
из первого уравнения получаем
1z=500-50х-10у (рублей) сумма делить на цену = количество
z=(500-50х-10у)/1=500-50х-10у (голов)
z=100-х-у (голов)
вот теперь можно решать дальше раз равны левые части уравнений то можно приравнять и правые
500-50х-10у=100-х-у
49х+9у=400 так как уравнение одно а неизвестных две то можно его решить методом подбора для этого выразим у через х
=(400-49х)/9
так как количество голов - натуральное число то можно подставлять в формулу вместо х натуральные числа начиная с 1 и вычислять у пока не получится натуральное число
в данном случае натуральное число получается уже на первом шаге при
х=1 - количество лошадей
у=(400-49)/9=351/9=39 коров
z=100-x-y=100-1-39=60 баранов
Некоторые комментарии к задаче
1) то что мы получили у на первой подстановке это нам повезло, если бы мы выразили х через у то пришлось бы делать 39 подстановок пока бы мы не получили х=1
2) возможно задача имеет и несколько решений мы нашли одно из них но если будем дальше подставлять натуральные числа вместо х то на 8 шаге получим у=0,8... а дальше отрицательные числа. понятно что на этом поиск надо прекратить
3) эту задачу пришлось решать "численным"
методом. решение задач численным методом вручную - это нудное и неинтересное занятие. такие задачи лучше давать на информатике там можно быстро посчитать возможные значения х в электронной таблице ECXEL или составить программу на языке программирования
хотя один раз можно дать и на математике чтобы дети поняли что решать такую задачу надо не на математике
4) в решениях которые можно найти в интернете где от рублей отнимают головы несмотря на неправильную логику получается верное решение. Почему? тут просто просто повезло что цена 1 руб. если бы цена была другая то такой метод сразу бы привел к ошибке. поэтому надо решать правильно. Решение задач неправильными методами похоже на сюжет мультфильма Страна двоек или в Стране невыученных уроков где по улице шагали полтора землекопа или корова сложенная с лошадью...
5) задача непростая, ну что ж поделать, математика вообще - это невероятно сложный инструмент для описания простых явлений.
6) моральная сторона задачи. судя по всему авторы казахского учебника бессовестно переделали задачу Льва Толстого на казахский лад. без ссылки на источник, что вообще то называется плагиатом. пусть это останется на их совести. можно заметить что некоторые учебники изданные казахскими аторами разительно напоминают переделанные российские. а ведь за эту работу авторы учебников получают гонорары из госбюджета, но это уже тема не для этого сайта....
Приложения:
Ответ дал:
0
Спасибо БОЛЬШОЕ... Отличный ответ....
Ответ дал:
0
придется удалить, получил грозное письмо от ведущего модератора что я что-то нарушил
Ответ дал:
0
какие-то правила
Вас заинтересует
2 года назад
2 года назад
3 года назад
3 года назад
9 лет назад
10 лет назад
10 лет назад