Ответы
Ответ дал:
0
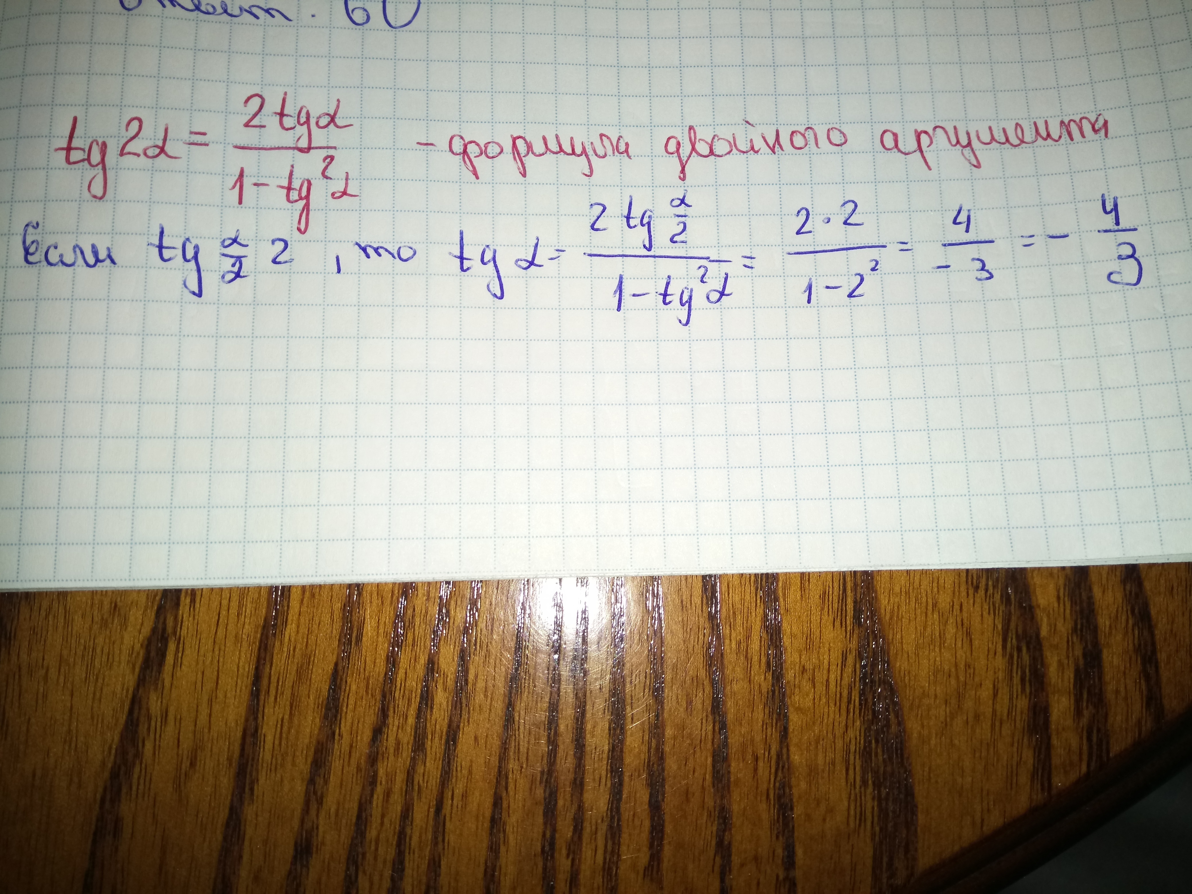
tg a=2tg(a/2)/(1-tg^2(a/2)
здесь tg a= 4/(1-4)=-4/3
Ответ дал:
0
Решение задания приложено
Приложения:

Вас заинтересует
2 года назад
3 года назад
3 года назад
9 лет назад
9 лет назад
9 лет назад