Ответы
Ответ дал:
0
смог только 18 , соре............
х^2-4x+a=0
пусть а=0,
то x^2-4x=0
x(x-4)=0
x1=0
x2=4
т.к в знаменателе x^3-16a^2x, a=0 , то в знаменателе остаётся , x^3, т.к один из корней 0 то он не подходит , следовательно остается 4, также один корень
Ответ : все значения а при которых уравнение равно нулю , 0 и 4
х^2-4x+a=0
пусть а=0,
то x^2-4x=0
x(x-4)=0
x1=0
x2=4
т.к в знаменателе x^3-16a^2x, a=0 , то в знаменателе остаётся , x^3, т.к один из корней 0 то он не подходит , следовательно остается 4, также один корень
Ответ : все значения а при которых уравнение равно нулю , 0 и 4
Приложения:
Ответ дал:
0
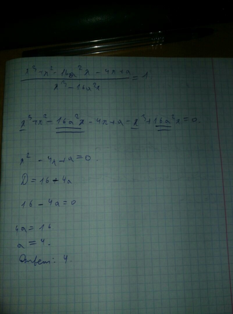
D=16-4а
Ответ дал:
0
а еще а может быть равно 15/16... здесь нужно записать выражение для оставшегося квадратного уравнения и учесть ОДЗ (т.к. есть знаменатель)...
Ответ дал:
0
выражение для корней...
Ответ дал:
0
Спасибо
Вас заинтересует
2 года назад
2 года назад
3 года назад
9 лет назад
9 лет назад
10 лет назад