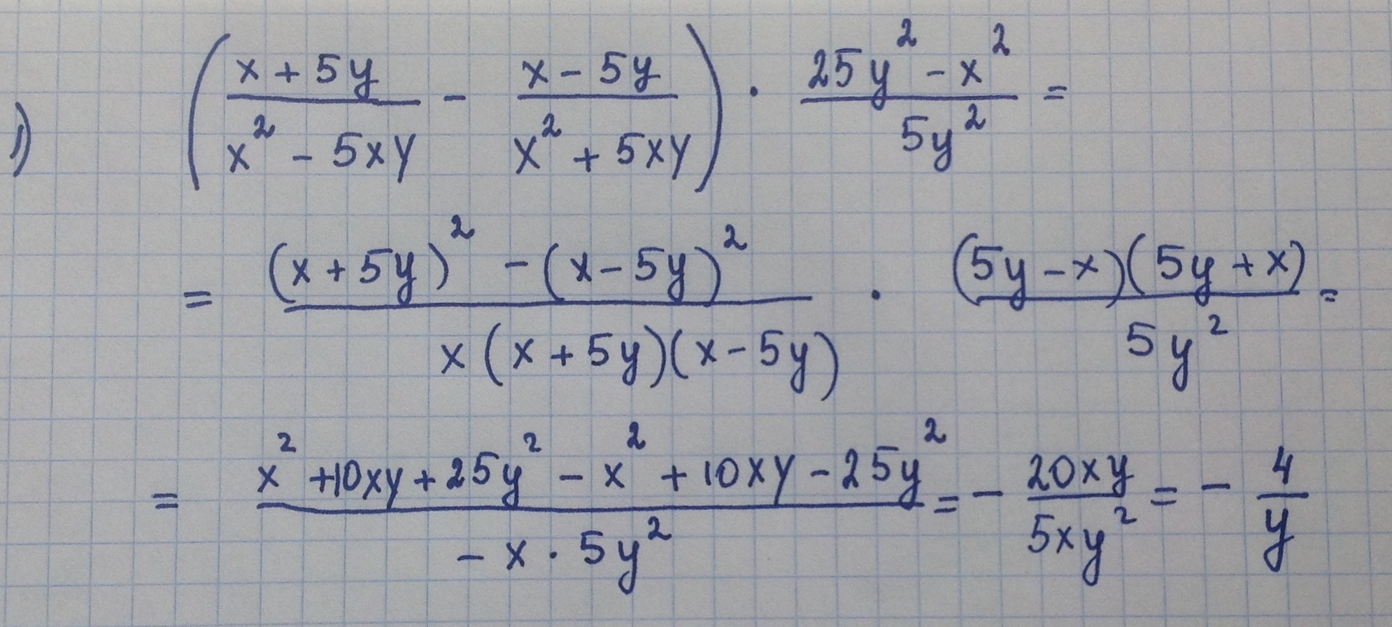
1) (x+5y/x^-5xy - x-5y/x^+5xy)* 25y^-x^/5y^
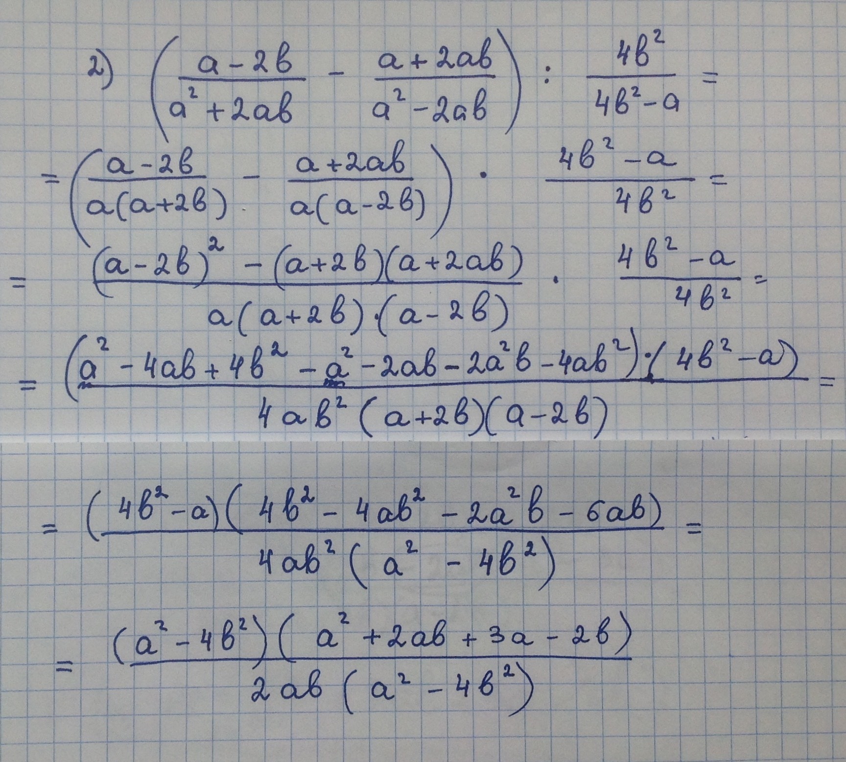
2) (a-2b/a^+2ab - a+2ab/a^-2ab): 4b^/4b^-a
ДЕТАЛЬНО УПРОСТИТЕ ПОЖАЛУЙСТА
Ответы
Ответ дал:
0
Ффффффффффффффффффффффффффффффффффф
Приложения:



Вас заинтересует
2 года назад
2 года назад
3 года назад
3 года назад
9 лет назад
9 лет назад
9 лет назад
9 лет назад