• Предмет: Математика
  • Автор: sergx59
  • Вопрос задан 8 лет назад

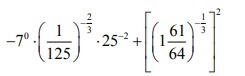
Вычислить:
ᅠᅠᅠᅠᅠᅠᅠᅠᅠᅠᅠᅠᅠᅠᅠᅠᅠᅠᅠᅠᅠᅠᅠᅠ

Приложения:

Ответы

Ответ дал: ВВБ86
0
-1 ×125^2/3× 25^-2 + (125/64) ^-2/3 =-1 × 5^2 ×5^-4 + (64/125 )^2/3 =
= - 1/25 +16 /25=15/25=3/5=0,6
Вас заинтересует