• Предмет: Математика
  • Автор: dyakonovaa01
  • Вопрос задан 8 лет назад

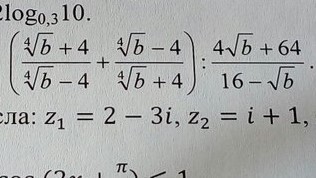
Помогите , пожалуйста

Приложения:

Ответы

Ответ дал: Ekaterina190500
0
ваше решение готово :
Приложения:
Вас заинтересует