• Предмет: Алгебра
  • Автор: Аноним
  • Вопрос задан 8 лет назад

Помогите решить 2 системы уравнений из сборника летних заданий для 8 класса.
1)
 left { {{frac{3x-5}{3}-frac{2y+4}{7}=-frac{11}{21}} atop {frac{2x-3}{3}-frac{5-y}{7}=-frac{17}{21}}} right.

2)
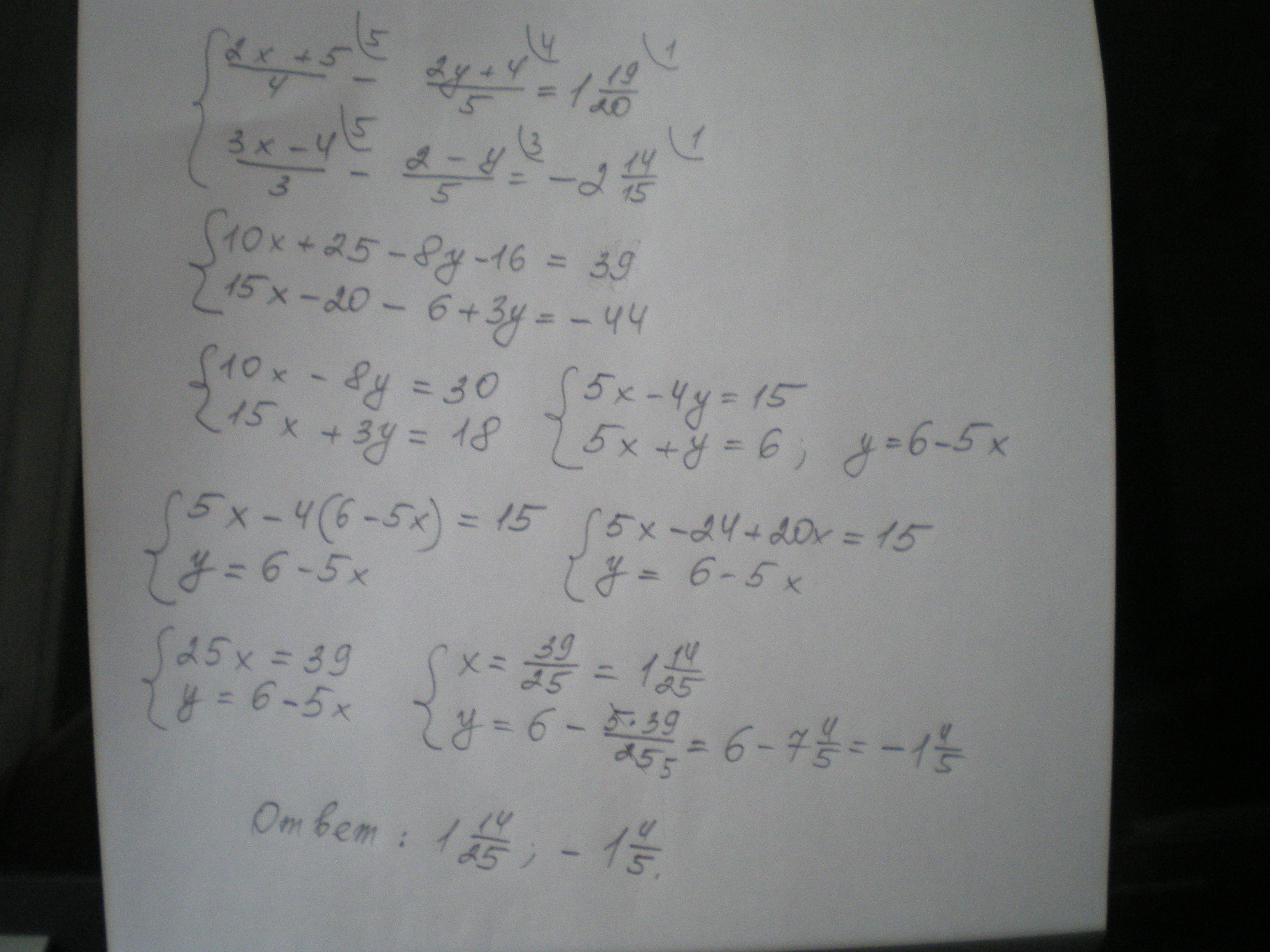
 left { {{frac{2x+5}{4}-frac{2y+4}{5}=1frac{19}{20}} atop {frac{3x-4}{3}-frac{2-y}{5}=-2frac{14}{15}}} right.

Ответы

Ответ дал: Пеппер
0
::::::::::решение::::::::
Приложения:
Вас заинтересует