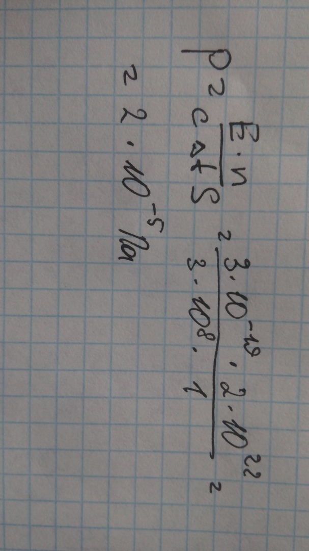
Световой пучок состоит из фотонов с энергией 3*10^-19 дж. На пластину площадью 1 м2 перпендикулярно к ее поверхности падает 2*10^22 фотонов в секунду, которые полностью поглощаются пластиной. Если пластина освещена равномерно, то давление света на нее равно?
Приложения:

Ответы
Ответ дал:
0
.....ну вроде так... :)
Приложения:

Ответ дал:
0
Огромное спасибо :)
Ответ дал:
0
Не за что, поставь типо лучший ответ...
Вас заинтересует
2 года назад
2 года назад
3 года назад
3 года назад
9 лет назад
9 лет назад