• Предмет: Математика
  • Автор: mustafaevmagom
  • Вопрос задан 8 лет назад

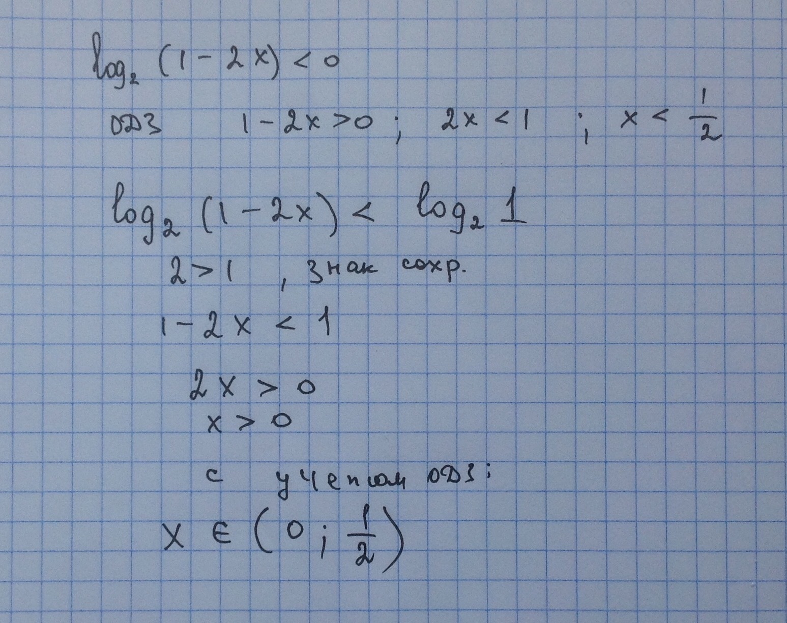
Укажите множество решений неравенства: log2(1-2x)<0

Ответы

Ответ дал: tamarabernukho
0
Фотофотофотофотофото
Приложения:
Вас заинтересует