Ответы
Ответ дал:
0
Ответ дал:
0
Если в скобке -, то:
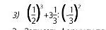
1/2*1/2*1/2+10/3:(-1/3)(-1/3)=30.125
1) 1/2*1/2*1/2=1/8=0.125
2) -1/3*(-1/3)=1/9
3) 10/3*9/1=30
4) 0.125+30=30.125
Ответ: 30.125
Если в скобке +, то
1/2*1/2*1/2+10/3:(+1/3)(+1/3)=30.125
1) 1/2*1/2*1/2=1/8=0.125
2) 1/3*1/3=1/9
3) 10/3*9/1=30
4) 0.125+30=30.125
Ответ: 30.125
1/2*1/2*1/2+10/3:(-1/3)(-1/3)=30.125
1) 1/2*1/2*1/2=1/8=0.125
2) -1/3*(-1/3)=1/9
3) 10/3*9/1=30
4) 0.125+30=30.125
Ответ: 30.125
Если в скобке +, то
1/2*1/2*1/2+10/3:(+1/3)(+1/3)=30.125
1) 1/2*1/2*1/2=1/8=0.125
2) 1/3*1/3=1/9
3) 10/3*9/1=30
4) 0.125+30=30.125
Ответ: 30.125
Вас заинтересует
2 года назад
2 года назад
3 года назад
3 года назад
9 лет назад
9 лет назад
10 лет назад
10 лет назад