• Предмет: Алгебра
  • Автор: kkenkevn
  • Вопрос задан 8 лет назад

решить уравнение. пожалуйста

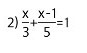
Приложения:

Ответы

Ответ дал: Аноним
0

 frac{x}{3}  +  frac{x - 1}{5}  = 1 \  \ 5x + 3(x - 1) = 15 \ 5x + 3x - 3 = 15 \ 8x - 3 = 15 \ 8x = 15 + 3 \ 8x = 18 \ x = 2.25
Ответ дал: Аноним
0
х/3+(х-1)/5=1
Умножаем все члены на 15
5х+3(х-1)=15
5х+3х-3=15
5х+3х=15+3
8х=18
х=18/8
х= 2 2/8
х=2 1/4
х=2.25

Ответ: 2.25
Ответ дал: kkenkevn
0
и че
Ответ дал: Аноним
0
И ОН ЗАДАЛ 2 ВОПРОСА И НА ЭТИ 2 ВОПРОСА ОТВЕТИЛА ФОХМР
Ответ дал: Аноним
0
Удачи)
Ответ дал: Аноним
0
НАДЕЖДА, ПРОШУ НАПИШИТЕ АНДРЕЮ ПО ЭЛЕКТРОННОЦ ПОЧТЕ И ДАТА РЕГИСТРАЦИИ
Ответ дал: Аноним
0
НАДЕЖДА ПОЧЕМУ ВЫ НЕ ВЕРИТЕ, ОНА ПРОДОЛЖАЕТ СОЗДОВАТЬ
Вас заинтересует