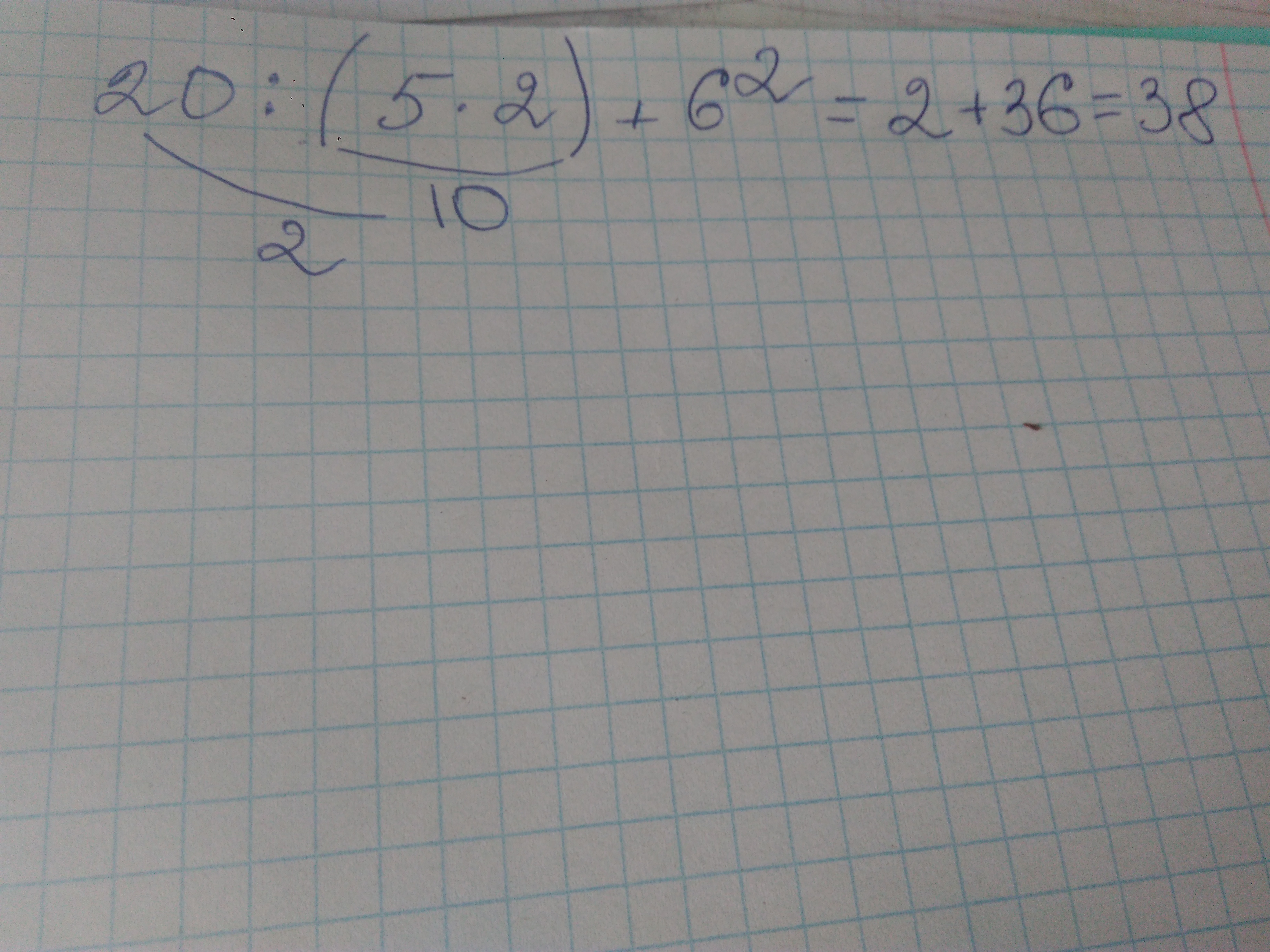
При списывании упражнения 2 20 :5⋅ 2 + 6 ученик забыл поставить скобки. Восстановите скобки, если известно, что результатом упражнения должно быть число: a) 38; б) 196; в) 152.
Ответы
Ответ дал:
0
Ловите,ибо по другому там никак не решается
Приложения:

Вас заинтересует
3 года назад
3 года назад
9 лет назад
9 лет назад