Ребят, привет, буду очень благодарен.
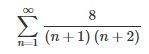
Нужно найти сумму ряда и расписать как вы её нашли :
Приложения:

Ответы
Ответ дал:
0
Ответ дал:
0
Скажи а от куда там взялась 1/2
Ответ дал:
0
и 1/3 ?
Ответ дал:
0
не правильно
Ответ дал:
0
..
Ответ дал:
0
1/2-1/3=1/(2*3)
Вас заинтересует
2 года назад
2 года назад
3 года назад
3 года назад
9 лет назад
9 лет назад
9 лет назад