Ответы
Ответ дал:
0
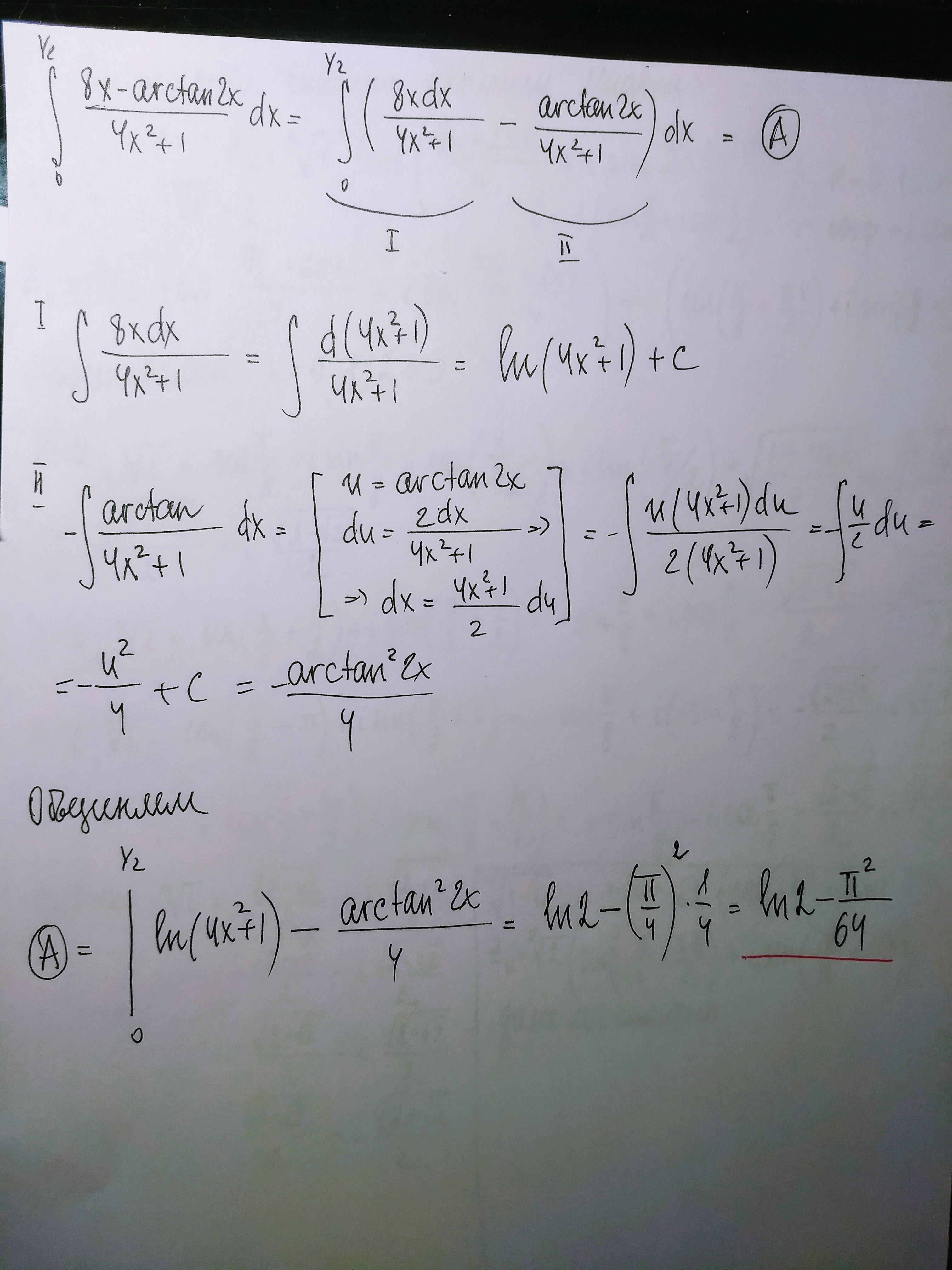
Разбиваем дробь на два интеграла, решаем каждый методом замены переменной.
Удачи вам!
Удачи вам!
Приложения:

Ответ дал:
0
большое спасибо
Вас заинтересует
2 года назад
3 года назад
3 года назад
9 лет назад