Ответы
Ответ дал:
0
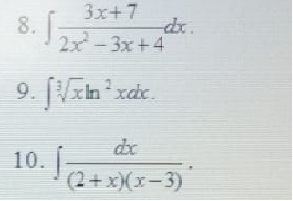
Посмотрите решение для двух интегралов.
Приложения:

Вас заинтересует
3 года назад
3 года назад
9 лет назад
9 лет назад